Skip to content Skip to sidebar Skip to footer

Widget HTML #1

Laplace Transform Calculator : Laplace Transform Wikipedia : A method for solving s system of linear equations which uses determinants of matrices.

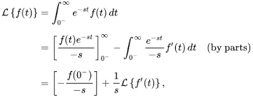
Laplace Transform Calculator : Laplace Transform Wikipedia : A method for solving s system of linear equations which uses determinants of matrices.. The laplace transform calculator transforms the equation from a differential equation to an algebraic equation (without derivative), where the new independent variable ss is the frequency. A method for solving s system of linear equations which uses determinants of matrices. The laplace transformation has many applications in engineering and science such as the analysis of control systems and electronic circuit's etc. Step by step rules solving nonlinear eqations. To do this, we need to use the above formula and calculate the integral:

Laplace transform the laplace transform can be used to solve di erential equations. If you specify only one variable, that variable is the transformation variable. Usually, to find the laplace transform of a function, one uses partial fraction decomposition (if needed) and then consults the table of laplace transforms. If an input is given then it can easily show the result for the given number. Sly −1 = ly − 4 s+ 1.

Use The Laplace Transform Integral To Calculate The Chegg Com
Use The Laplace Transform Integral To Calculate The Chegg Com from d2vlcm61l7u1fs.cloudfront.net
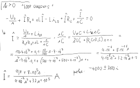
Step by step rules solving nonlinear eqations. The series rlc can be analyzed for both transient and steady ac state behavior using the laplace transform. Asked may 20 '20 at 17:13. Square your property line root. By using this website, you agree to our cookie policy. The laplace transform of some function is an integral transformation of the form: The laplace transformation has many applications in engineering and science such as the analysis of control systems and electronic circuit's etc. The laplace transform calculator transforms the equation from a differential equation to an algebraic equation (without derivative), where the new independent variable ss is the frequency.

Inverse laplace transform calculator is online tool to find inverse laplace transform of a given function f (s).

4th grade practice on algebraic expression. Laplace transform the laplace transform can be used to solve di erential equations. Inverse laplace transform calculator is online tool to find inverse laplace transform of a given function f (s). Just perform partial fraction decomposition (if needed), and then consult the table of laplace transforms. It is the opposite of the normal laplace transform. Laplace (f) ans = 1/ (a + s) specify the transformation variable as y. By using this website, you agree to our cookie policy. Y = e − k 2 2 m t a a sin at − b a cos at + mg k 1 + k 1 − mu 2 sin ut − k 2 ucos ut b 21. We can think of the laplace transform as a black box that swallows the function and transfers the function to a new variable. Don't forget to hit the li. The calculator above performs a normal laplace transform. The calculator will find the inverse laplace transform of the given function. In this episode, i shared a very useful technique for obtaining the laplace transform using a calculator in multiple choice exams.

By default, the independent variable is t, and the transformation variable is s. The laplace transformation has many applications in engineering and science such as the analysis of control systems and electronic circuit's etc. As you launch this software, it provides you two options: A method for solving s system of linear equations which uses determinants of matrices. The calculator above performs a normal laplace transform.

Inverse Laplace Transform Calculator Instant Solutions
Inverse Laplace Transform Calculator Instant Solutions from i0.wp.com
Laplace transform calculator is online tool to find laplace transform of a given function f (t). Sly −1 = ly − 4 s+ 1. We can think of the laplace transform as a black box that swallows the function and transfers the function to a new variable. Usually, to find the inverse laplace transform of a function, we use the property of linearity of the laplace transform. Step by step rules solving nonlinear eqations. Calculator finds laplace transformation of the given function. New quick conversion and create new conversion.to easily calculate inverse laplace transform, choose new quick conversion option and enter the expression in the specified inversion filed. 11 1 1 bronze badge $\endgroup$ 5.

In today's post, we will learn about laplace transforms, how to compute laplace transforms and inverse laplace transforms.

We can think of the laplace transform as a black box that swallows the function and transfers the function to a new variable. The independent variable is still t. The laplace transform calculator transforms the equation from a differential equation to an algebraic equation (without derivative), where the new independent variable ss is the frequency. The above calculator is an online tool which shows output for the given input. Usually, to find the inverse laplace transform of a function, we use the property of linearity of the laplace transform. Byju's online laplace transform calculator tool makes the calculations faster and the integral change is displayed in a fraction of seconds. As an example, find laplace transform of the function. This is because we use one side of the laplace. The laplace transform of some function is an integral transformation of the form: Don't forget to hit the li. Just perform partial fraction decomposition (if needed), and then consult the table of laplace transforms. The calculator will find the inverse laplace transform of the given function. Only calculating the normal laplace transform is a process also known as a unilateral laplace transform.

Laplace transforms transform calculator helps you convert the angle between two points in a 3d scene.it will also show you the transform and displacement values of your model's parts.you can also calculate a mesh's mesh coordinate system.if you have a 3d model, you can use the laplace transformation calculator to calculate its position, transform, and … Y = a l + d l cos ut + e l. 11 1 1 bronze badge $\endgroup$ 5. Calculator finds laplace transformation of the given function. Unlike other software, it shows the inverse laplace transform in graphical form.

Advanced Math Solutions Laplace Calculator Laplace Transform Symbolab Blog
Advanced Math Solutions Laplace Calculator Laplace Transform Symbolab Blog from 1.bp.blogspot.com
By default, the independent variable is t, and the transformation variable is s. Laplace transform calculator is a free online tool that displays the transformation of the real variable function to the complex variable. The independent variable is still t. If an input is given then it can easily show the result for the given number. Calculator finds laplace transformation of the given function. It is the opposite of the normal laplace transform. Y = a l + d l cos ut + e l. The series rlc can be analyzed for both transient and steady ac state behavior using the laplace transform.

To do this, we need to use the above formula and calculate the integral:

New quick conversion and create new conversion.to easily calculate inverse laplace transform, choose new quick conversion option and enter the expression in the specified inversion filed. Laplace transforms transform calculator helps you convert the angle between two points in a 3d scene.it will also show you the transform and displacement values of your model's parts.you can also calculate a mesh's mesh coordinate system.if you have a 3d model, you can use the laplace transformation calculator to calculate its position, transform, and … 2nd order differential on ti 89. Calculator finds laplace transformation of the given function. 2,020 1 1 gold badge 8 8 silver badges 22 22 bronze badges. Getting rid of a cube root in the denominator. If you specify only one variable, that variable is the transformation variable. The inverse laplace transform is when we go from a function f(s) to a function f(t). Asked may 20 '20 at 17:13. Latin is a free inverse laplace calculator for windows. Usually, to find the inverse laplace transform of a function, we use the property of linearity of the laplace transform. This calculator, which makes calculations very simple and interesting. Laplace transform the laplace transform can be used to solve di erential equations.